Microstrip patch calculator – microstrip patch antenna calculator
Formula della Calcolatrice per Antenna Microstrip Patch
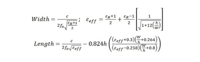
La Calcolatrice per Antenna Microstrip Patch utilizza le seguenti formule per calcolare la larghezza e la lunghezza effettiva del patch:
W = (c / (2 × f₀)) × √(2 / (εᵣ + 1))
ε_eff = (εᵣ + 1)/2 + ((εᵣ – 1)/2) × (1 + 12 × (h/W))^(-0.5)
L_eff = c / (2 × f₀ × √(ε_eff))
ΔL = 0.412 × h × ((ε_eff + 0.3) × (W/h + 0.264)) / ((ε_eff – 0.258) × (W/h + 0.8))
L = L_eff – 2 × ΔL
Dove W è la larghezza del patch, L è la lunghezza effettiva, h è l’altezza del substrato, f₀ è la frequenza di risonanza, εᵣ è la costante dielettrica del substrato, c è la velocità della luce e ε_eff è la costante dielettrica efficace.
Spiegazione della Formula
La larghezza W è calcolata in base alla frequenza di risonanza e alla costante dielettrica del substrato, influenzando l’impedenza dell’antenna. La lunghezza effettiva L_eff considera l’effetto del substrato e la costante dielettrica efficace ε_eff. ΔL corregge l’allungamento fringing ai bordi del patch, fornendo la lunghezza fisica L necessaria per ottenere la risonanza alla frequenza desiderata.

Esempio di Formula
Supponiamo i seguenti valori:
εᵣ = 4.4, h = 1.6 mm, f₀ = 2.4 GHz
Calcolo passo passo:
Step 1: Larghezza del patch:
W = (3×10⁸ / (2 × 2.4×10⁹)) × √(2 / (4.4 + 1)) ≈ 38.0 mm
Step 2: Costante dielettrica efficace:
ε_eff ≈ 4.0
Step 3: Lunghezza effettiva:
L_eff = 3×10⁸ / (2 × 2.4×10⁹ × √4.0) ≈ 31.25 mm
Step 4: Correzione ΔL:
ΔL ≈ 0.412 × 1.6 × ((4.0 + 0.3) × (38/1.6 + 0.264)) / ((4.0 – 0.258) × (38/1.6 + 0.8)) ≈ 0.83 mm
Step 5: Lunghezza finale:
L = 31.25 – 2 × 0.83 ≈ 29.59 mm
Usi della Calcolatrice per Antenna Microstrip Patch
- Progettare antenne microstrip patch per applicazioni Wi-Fi, Bluetooth e RF.
- Determinare dimensioni precise del patch in base alla frequenza desiderata.
- Ottimizzare le prestazioni dell’antenna per guadagno e impedenza.
- Simulare e prototipare antenne in ambito accademico o industriale.
- Valutare l’effetto del substrato e della costante dielettrica sulle dimensioni dell’antenna.