Formula della Calcolatrice della Larghezza della Microstriscia
La Calcolatrice della Larghezza della Microstriscia utilizza la seguente formula per calcolare la larghezza W di una linea microstrip in base all’impedenza caratteristica desiderata:
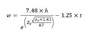
W = (7.48 × h) / exp( Z₀ × √(εr + 1.41) / 87 ) − 1.25 × t
Dove W è la larghezza della traccia, h è lo spessore del dielettrico, t è lo spessore della traccia, Z₀ è l’impedenza caratteristica e εr è la costante dielettrica relativa del materiale. Tutti i valori devono essere inseriti nelle stesse unità di misura, e l’uscita sarà espressa nella stessa unità.
Spiegazione della Formula
La formula deriva da un’approssimazione empirica per la progettazione di linee microstrip. Essa permette di stimare la larghezza necessaria per ottenere una determinata impedenza caratteristica. Il termine esponenziale tiene conto dell’effetto della costante dielettrica e dell’impedenza richiesta, mentre la sottrazione di 1.25 × t corregge l’effetto dello spessore del conduttore.

Esempio di Formula
Supponiamo di voler progettare una microstriscia con:
Z₀ = 50 Ω, t = 1 mil, h = 10 mil, εr = 4.4
Applicando la formula:
W = (7.48 × 10) / exp(50 × √(4.4 + 1.41) / 87) − 1.25 × 1 ≈ 14.272 mil
La larghezza calcolata di circa 14.272 mil garantisce un’impedenza prossima a 50 Ω per queste condizioni dielettriche e geometriche.
Usi della Calcolatrice della Larghezza della Microstriscia
- Progettazione di linee microstrip per circuiti RF e microonde.
- Determinazione della larghezza della traccia per ottenere una specifica impedenza caratteristica.
- Ottimizzazione delle tracce PCB per compatibilità elettromagnetica e stabilità del segnale.
- Analisi e verifica di layout RF in fase di prototipazione.
- Formazione e studio dei principi di trasmissione nei conduttori planari.