Formula della Calcolatrice della Portata del Radar
La Calcolatrice della Portata del Radar utilizza la seguente formula per stimare la distanza massima di rilevamento:
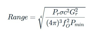
R = ((Pt × σ × c² × G²) / ((4π)³ × f₀² × Pmin))^(1/4)
Dove R rappresenta la portata massima in metri, Pt è la potenza trasmessa, σ è la sezione radar equivalente del bersaglio, c è la velocità della luce, G è il guadagno dell’antenna, f₀ è la frequenza operativa e Pmin è la potenza minima rilevabile dal ricevitore.
Spiegazione della Formula
La formula evidenzia la relazione tra i parametri principali del sistema radar. Un incremento della potenza trasmessa Pt o del guadagno dell’antenna G aumenta la portata. Valori più grandi di σ indicano bersagli più facili da individuare. Frequenze operative più alte e potenze minime più elevate riducono invece la distanza massima di rilevamento.

Esempio di Formula
Supponiamo i seguenti valori di ingresso:
Pt = 10 W, G = 100, f₀ = 3 GHz, σ = 1 m², Pmin = 1e-9 W
Applicando la formula:
R = ((10 × 1 × (3×10⁸)² × 100²) / ((4π)³ × (3×10⁹)² × 1e-9))^(1/4) ≈ 26.2 km
Il risultato mostra la distanza massima teorica alla quale il radar può rilevare un bersaglio con una sezione radar equivalente di 1 m².
Usi della Calcolatrice della Portata del Radar
- Determinare la distanza massima di rilevamento di un radar di sorveglianza.
- Progettare e ottimizzare sistemi radar in ambito civile e militare.
- Analizzare le prestazioni radar in funzione di frequenza e potenza trasmessa.
- Valutare come la sezione radar equivalente influisce sul rilevamento dei bersagli.
- Simulare scenari radar per applicazioni ingegneristiche e di ricerca.