Formula della Calcolatrice FSPL
La Calcolatrice della Perdita di Percorso in Spazio Libero utilizza la seguente formula per calcolare la perdita in dB:
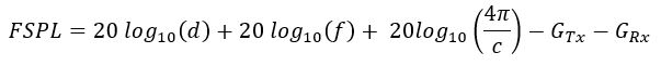
FSPL(dB) = 20 × log₁₀(d) + 20 × log₁₀(f) + 92.45 – Gtx – Grx
Dove d è la distanza tra trasmettitore e ricevitore in km, f è la frequenza in GHz, Gtx è il guadagno dell’antenna trasmittente in dB e Grx è il guadagno dell’antenna ricevente in dB.
Spiegazione della Formula
La formula mostra come la perdita di percorso dipenda dalla distanza e dalla frequenza del segnale. Aumentando la distanza o la frequenza, la FSPL cresce. I guadagni delle antenne trasmittente e ricevente riducono la perdita effettiva, migliorando la qualità del segnale ricevuto. Questa calcolatrice consente di prevedere l’attenuazione del segnale nello spazio libero senza ostacoli.

Esempio di Formula
Supponiamo i seguenti valori:
d = 5 km, f = 2.4 GHz, Gtx = 10 dB, Grx = 12 dB
Applicando la formula:
FSPL = 20 × log₁₀(5) + 20 × log₁₀(2.4) + 92.45 – 10 – 12 ≈ 92.88 dB
Questo valore indica la perdita di segnale prevista tra trasmettitore e ricevitore nello spazio libero.
Usi della Calcolatrice FSPL
- Stimare l’attenuazione del segnale in link wireless a diverse distanze e frequenze.
- Progettare sistemi di comunicazione RF tenendo conto delle perdite di percorso.
- Valutare l’impatto dei guadagni delle antenne sulla qualità del segnale ricevuto.
- Simulare scenari di trasmissione senza ostacoli per studi tecnici.
- Supportare l’ottimizzazione dei collegamenti radio in applicazioni civili e industriali.